|
Home > BMC Book
> Online Resources > Errata,
updates Following links from my tutorial web site to Amazon.com allows you to find best new and used prices and helps to support the educational parts of this web site. See also my recommendations. Please accept my sincere apologies for the various mistakes and inaccuracies that escaped our attention. Fortunately only few true errors have been discovered so far. Some figures have been updated or improved and can be downloaded from this page. |
|
|
| Color code | Revision status MAI-02-2020 | ||||
| Green: Included in second and higher printings | |||||
| Red: mandatory material scheduled for 2nd edition | MANDATORY | ||||
| Yellow: things that I would have liked in the 2nd printing but were ignored due to 18th century typesetting procedures used by TNF | |||||
| Cyan: errors found after the 2nd printing cutoff - largely minor | MANDATORY | ||||
| Format: page, paragraph, line(S=sidebar C=figure caption, E=equation, B=Box, F=figure), minus means 'from bottom' | Error description (Submit a new one) | Remarks |
Rev Num |
Revision Status |
|
| After xiii, para2?? | Acknowledgement for 2nd printing corrections | here | 1 | Missing | |
| Preface 1, 2, 11 | an array of can be deleted | can stay | 2 | ||
| x, 1, 6 | real (projections) of molecules should be projections of real molecules | 3 | |||
| xi, 5, 6 | broad and helpful should be large and helpful | 4 | |||
| xii, 4, 1 | the numerous should be all the | 5 | |||
| xii, 5, 17 | LBNL should be LANL | Sorry, Tom. | 6 | ||
| 1, 1, 7 | brief should be short | 7 | |||
| 2,1,8 | head PRD1 should be PRD1 | Thx, Mark! | 7a | MANDATORY | |
| 3, S, col 1, line fig 2-2 | bacteriophage head should be bacteriophage | Thx, Mark! | 7b | MANDATORY | |
| 3, S, col 2, line fig 13-23 | c_hannel should be channel | 8 | |||
| 5, 2, 3 | bad hyphenation, should be crystallo-graphy | or maybe not? | 9 | ||
| 5, 2,13 | sensitive should be susceptible | 10 | |||
| 5,3,4 | This not the should be This is not the | Thanks, Boaz! | 11 | ||
| 7, 3, 5 | may not locally represent the protein structure should be may not represent the local protein structure | 12 | |||
| 8, box 1-3, 11 | though a should be through a | Thx, Murph! | 12a | Mandatory | |
| 8, 3, 5 | structures should be structure | 13 | |||
| 11, 1-2, break | paragraph break to large | 14 | |||
| 13, 4, 10 | cryocool should be cool | 15 | |||
| 16, 1, 10 | scatters should be scatterers | Thx, Mark! | 15a | MANDATORY | |
| 19, S1-4, 13 | new reference to PDBe should be added | 1. Velankar S, Best C, Beuth B, et al. (2010) PDBe: Protein Data Bank in Europe. Nucl. Acids Res. 38, D308-D317. | 16 | ||
| 20,1,1 | extendable should be extensible | Thx, Murph! | 16a | Mandatory | |
| 20,4,11 | graphic should be graphics | 17 | |||
| 21, 1.8, -7 | though a should be through a | Thx, Murph! | 17a | Mandatory | |
| 22,ref6 | Abrahams JP, Leslie AG, Lutter R, et al. (1994) Structure at 2.8 A resolution of F1-ATPase from bovine heart mitochondria. Nature 370, 621-628. | replace reference - thx Mark! | 17b | Mandatory | |
| Chapter 2 | |||||
| 24,5,3 | seleno cysteine should be selenocysteine | check throughout chapter 2 | 18 | ||
| 25, C2-1 | add reference to 2009 Nobel Prize for Ribosome before "PDB entries..." | For their work ultimately leading to the determination of the ribosome 50S subunit structure, V. Ramakrishnan, T. A. Steitz and A. E. Yonah shared the 2009 Nobel Prize in Chemistry. | 19 | MANDATORY | |
| S 2-1, 12 | 66 MDa heads of membrane-containing bacteriohage should be 66 MDa membrane-containing bacteriophage | Thx, Mark! | 19a | MANDATORY | |
| F 2-2, caption |
capsid of the 66 MDa head of the membrane containing bacteriophage
should be capsid of the 66 MDa membrane
containing bacteriophage |
Thx, Mark! | 19b | MANDATORY | |
| 26, C2-2,-2 | David Stewart should be David Stuart | Thx, Tomas! | 19b | ||
| 27,1,1 | deviate should be vary | 20 | |||
| 28,2,9 | As most should be Because most | 21 | |||
| 29,2,2 | delete 20 | 22 | |||
| 29,2,3 | The peptide bond is formed between two amino acids between should be The peptide bond between two amino acids is formed between | 23 | |||
| 31, C2-9, 9 | cis should be italic cis | 24 | |||
| 31,2,6 | described should be discussed | 25 | |||
| 33,S2-3, 1,13 | of proteins should be in proteins | 26 | |||
| 35,C2-13 | Add a remark that the PP-II helix is in the strict sense of backbone interactions not a bona fide SS element. | ...nitrogen. A PP-II helix therefore does not not comply with the strict definition of secondary structure elements via their backbone hydrogen bonding patterns. | 27 | ||
| 35, 3,13 | -180/+180 should be +180/+180 (the same but would be more consistent) | 28 | |||
| 36,2,10 | the strands and extended should be the strands. Extended | 29 | |||
| 36,3,5 | idealized should be ideal | 30 | |||
| 36,F2-14 | The arrows in the right panel are inconsistent with chain direction | updated figure for download (gif) here | 31 | ||
| 38, 3, 5 | are thus are should be are thus | Thx, Murph! | 32 | Mandatory | |
| 39,2,8 | So far, we have not needed to pay should be So far we did not have to pay | ... | 33 | ||
| 40,1,9 | amino acids and proteins should be amino acid residues in proteins. | 34 | |||
| 40,T2-2 | H+ should be H in Alanine row | Thx, Murph! | 34a | Mandatory | |
| 41, T2.2 | full stop at Thr D. A should be D, A; Explain E.C. in header | Thx, Murph! | 34b | Mandatory | |
| 44,2,6 | by surface should be via surface | 35 | |||
| 44, C2-22 | positive should be negative | Thx, Christian! | 35a | MANDATORY | |
| 45,2,2 | the rigid should be the rigidity of the | 36 | |||
| 46, F2-25 | The side chain NH2CO should be flipped for consistency with density | updated figure for download (gif) here | 37 | ||
| 46, C2-26, 1 | S-S double bond should be S-S bond | Thx, Manfred! | 39 | ||
| 47,3,3 | chain density. should be chain. | 40 | |||
| 48,4,3 | on surface accessible proteins should be on the surface of proteins. | What was I thinking here.. | 41 | ||
| 52,2,5 | receptor drug should be receptor-drug | 42 | |||
| 52, 2, -3 | to-8 kcal should be to -8 kcal | Thx, Murph! | 42a | MANDATORY | |
| 56,4,2 | It is useful as it exemplifies should be It exemplifies | 43 | |||
| 56,c2-25, 1 and 3 |
motif serving should be
motif (A) serving domain of should be domain (B) of | Insert figure labels in caption | 44 | ||
| 58,1,-1 | Add to paragraph: A particularly efficient program for the detection of structural relationships across domain boundaries and under full consideration of biological unit information is implemented in the COPS server. xy | Add reference xy - see page 76 | 45 | IGNORED | |
| 58,3,2 | apolipoprotein should be apolipoprotein E | 45a | MANDATORY | ||
| 62,1,1 | As we discussed should be As discussed | 46 | |||
| 62,3,19 | with crystal should be with the crystal | 47 | |||
| 62,3,21 | task for should be task in the case of | 48 | |||
| 65,3,-3 | ions. should be ions per mol. | 48a | MANDATORY | ||
| 66,C2-43,3 and 9 |
purine bases are joined should be purin
bases (A)are joined form a nucleotide. should be form a nucleotide (B). | Insert figure labels in caption | 49 | ||
| 68,C2-45,10 | hydrogen donor should be hydrogen bond donor | Thx, Manfred! | 50 | ||
| 68,C2-45,16 | hydrogen acceptors should be hydrogen bond acceptors | Thx, Manfred! | 51 | ||
| 68,C2-46,1 | Z-finger should be Zinc-finger | Thx, Qiujia! | 51a | MANDATORY | |
| 68,C2-46,12 |
Zn atoms should be Zn2+ ions ions not atoms | Thx, Manfred! | 52 | ||
| 73, 2.12 Additional reading | should include reference |
1. Liljas A, Liljas L, Piskur J, et al. (2009) Textbook of Structural Biology. Hackensack, NJ: World Scientific Publishing Company. |
53 | IGNORED | |
| 75 |
Update reference 50 |
50. Chen VB, Arendall WB, III, Headd JJ, et al. (2010) MolProbity: all-atom structure validation for macromolecular crystallography. Acta Crystallographica D66(1), 12-21. | 54 | ||
| 76 | Add to references | xy. Suhrer SJ, Wiederstein M, Gruber M, et al. (2009) COPS - a novel workbench for explorations in fold space. Nucleic Acids Research 37(suppl 2), W539-W544. | 55 | IGNORED | |
| CHAPTER 3 | |||||
| 78,2,1 | The following should be The remaining | 56 | |||
| 79,C 3-2,6 | cheap and should be cheap, and | 57 | |||
| 80,2,8 | In contrast, polycrystalline material contains a randomly oriented sample of many thousands of tiny microcrystals.. should be | In contrast, polycrystalline material contains many thousands of tiny, randomly oriented microcrystals.. | 58 | ||
| 80,2,7 | - display should be - crystals display | 58a | MANDATORY | ||
| 80, F3-3 | One arrow direction added | 58b | |||
| 82, S3-3,5 | just in crystals should be just as in crystals | 59 | |||
| 83,3,6 | the limited power of global descriptors to pinpoint local properties. should be | the insensitivity of global descriptors regarding local errors. | 60 | ||
| 86,3,3 | < 95% should be > 95% | Thx, Manfred! | 61 | ||
| 87,3,5 | salt in should be salt-in | inconsistent throughout text | 62 | ||
| 88,1,15 | Finally, all kinds should be Finally, various kinds | 64 | |||
| 88,4,1 | Once the activation barrier should be Once the kinetic barrier | 64a | MANDATORY | ||
| 89, F3-7 | Figure (gif) here - thx Julek! | 65 | |||
| 89, 2, 3 | at which where should be where | Thx, Murph! | 65a | Mandatory | |
| 89, C3-7, -3 | (often in the form of precipitate or should be (such as precipitate or | 66 | |||
| 89, 3, -6 | advantage for one should be advantage of one | 66a | |||
| 90,3,12 | range 25-150 should be range of 25-150 | 67 | |||
| 92,1,6 | also, unfortunately, common protein-rich should be also, unfortunately common, protein-rich | 68 | |||
| 92,F3-9 | Figure (gif) here | 69 | |||
| 92, C3-9 | revised figure caption | here | 70 | ||
| 93, S3-6, 1,6 | Add reference xz: flow equation. should be flow equation.141 Reference xz: | 141. Garcia-Ruiz J-M (2003) Nucleation of protein crystals. J. Struct. Biol. 142(1), 22-31. | 70a | REFERENCE 141 NOW | |
| 93, S3-6, 2,1 | In Equation 3-4 should be In the Gibbs-Thompson expression 3-4 | Thx, Wolfgang! | 70b | ||
| 94,1,12 | or for other kinetic reasons should be or for other, kinetic, reasons | 71 | |||
| 95,1,5 | inspection. should be inspection of the diffraction pattern. | 72 | |||
| 95,2,2 | where it reaches should be where the solution reaches | 73 | |||
| 96, 1, 4,5 | Salting-in, salting-out need consistent hyphens | inconsistent throughout text | 74 | ||
|
96, E 3-5 |
Typesetting error, correct equation: |
|
75 | ||
| 96,C3-13,-2 | (salting in) and the salting out region should be (cation-dominated salting-in) and the anion-dominated salting out region | 76 | |||
| 97,2,4 | Formula should be (H−(O−CH2−CH2)n−OH) | Thx, Wolfgang! | 76a | ||
| 97,2,5 | Formula should be (H3C−(O−CH2−CH2)n−OH) | Thx, Wolfgang! | 76b | ||
| 97, 3, 1 | (S) should be without parenthesis S | 77 | |||
| 98, 2, 1 | magnitude should be multitude | 78 | |||
| 98, 4, 4 | used should be useful | 79 | |||
| 101, 4, 1 | is just to mix should be is to just mix | 80 | |||
| 104,4,1 | paragraph should start with bold Clear drops. | 81 | |||
| 105, S3-10, -12 | of 50 ml should be of 50 µl | microliter | 82 | ||
| 105,2,2 | directly to create should be to immediately create | or instantaneously ? | 83 | ||
| 106,C3-34, add | Add after last sentence: The shape of the solubility curve is typical for a salt-based precipitate cocktail (compare Figure 3-13); PEGs do not show a salting-in effect. | Thx, Julek! | 84 | ||
| 108,C3-27, last | Juan-Maria should be Juan-Manuel | Sorry, J.-M.! | 85 | ||
| 111, 3, after last sentence | after ...control experiments. , add: It has been proposed that the change in cocktail composition due to addition of seeds stock may also be a contributing factor towards increased crystallization successx, but recent studies remphasize the importance of an actual presence of nucleation sitesxx. References x, xx: |
x. St John FJ, Feng B, & Pozharski E (2008) The role of bias in crystallization conditions in automated microseeding. Acta Crystallogr. D64, 1222-1227. xx. Shaw-Stewart PD, Kolek SA, Briggs RA, et al. (2011) The use of microseeding in protein crystallization: practical variations on the microseed matrix-screening (MMS) method. Acta Crystallogr. D67, in press. |
86 | IGNORED | |
| 112, B 3-7, 1 | any conditions should read the exact conditions | 87 | |||
| 113, S3-13, 9 | aliquots followed by protein addition with a single needle dispenser suffices should be | aliquots, followed by protein addition with a single needle dispenser, suffices | 88 | ||
| 114,2,9 | drop the 'all' | 89 | |||
| 115, C3-34, 4 | The large cube should be the larger, green cube | 90 | |||
| 115, last paragraph |
last paragraph Full factorial designs. The second sentence
contains various mistakes and should be
replaced as follows: ...factors.88 For a 2-level, 4-factor full factorial design, 16 experiments are required, and we can interpret our grid screen experiment (pH, PEG) as a simple 2-factor experiment with 6 (pH) and 4 (PEG concentration) levels resulting in 24 combinations. However... | Thanks Wolfgang for pointing this out! | 91 | ||
| 117, C3-35, -3 | toward soluble should be toward highly soluble | 92 | |||
| 120,3,10 | drop the 'only' | 93 | |||
| 122 | Add sidebar 3-13A | or here | 94 | IGNORED | |
| 123,6,2 | glossarize IC50 in this line and the definition of IC50 should go into Glossary -> |
half maximal inhibitory concentration (IC50) A measure of the effectiveness of a compound or drug in inhibiting biological or biochemical function. Quantifies how much of a particular drug or inhibitor is needed to inhibit a given biological process (such as enzyme or receptor activity) by half. |
95 | IGNORED | |
| 124,2,3 | occupation should be occupancy | 96 | |||
| 124,2,5 | occupanc should be occupancy | 97 | |||
| 124,C3-40,8 | occupation should be occupancy | 98 | |||
| 126, T3-1, last | (Ta6Br12)Br should be (Ta6Br12)Br2 | Was correct in MS! Thx, Stan! | 98a | Mandatory | |
| 127,1,3 | the radical should be radical | 99 | |||
| 127,1,12 | cooling also should be cooling | 100 | |||
| 131, F3-46 | CDRs is misspelled - replace entire figure Typesetter: high res figure in Garland dropbox folder | Thx, Stan! Figure (gif) here. | 100a | Mandatory | |
| 131,2,3 | mAbs should be mABs | 101 | |||
| 139, ref 87 | Add issue number 254(23) | 102 | |||
| 139, refs 99-102 | 101 and 102 are identical to 99 and 100, respectively | Needs complete renumbering of references in body text past 100 | 103 | IGNORED | |
| 140 | Add reference 141 (139 after repair, also correction in new S3-13A necessary). Note new references x, xx, xz | 141. Luft JR, Furlani NM, NeMoyer RE, et al. (2010) Crystal cookery - using high-throughput technologies and the grocery store as a teaching tool. J. Appl. Crystallogr. 43(5), 1189-1207. | 104 | IGNORED | |
| Chapter 4 | |||||
| 148,C4-3,-3 | as much as a single should be as little as a single | 105 | |||
| 154,3,-5 | two times result - resulting | needs rephrasing by native | 106 | IGNORED | |
| 154,S4-3,2 | Targeted mutagenesis of should be Mutagenesis of specific | 107 | |||
| 157,1,2 | PCR (using should be PCR (epPCR, using | 108 | |||
| 157,1,-4 | mutation mutants should be mutation | ... | 109 | ||
| 159, FC4-11,4 | E. coli should be Y. pestis | 110 | |||
| 160,S4-4,14 | tools in these bacteria is smaller. should be tools available for these bacteria is limited. | 111 | |||
| 162,1,3 | BL843 should be B834 | 111b | |||
| 162,1,3 |
various codons or strains should be various codon-optimized strains or strains | 112 | |||
| 162,2,4 | up to 1/10 should be up to ten times | ... | 113 | ||
| 166,S4-6,16 | 10-10 should be 10-11 | Thank you, Helena! | 113a | MANDATORY | |
| 167,5,3 | the stationary Ni should be the Ni | 114 | |||
| 168,1,-4 | plus should be with, parenthesis removed | with.....site flows maybe.... | 115 | ||
| 170,C4-14,5 | Aequoria victoria should be Aequorea victoria | Thx, Wolfgang! | 116 | ||
| 171,3,5 | BL843(DE3) should be B834(DE3) | Thx, Wolfgang! | 117 | ||
| 171,3,-3 | partial occupation should be partial substitution | add residue substitution matrix in Appx | 118 | ||
| 177, 3, 3 | Asn-X-Ser(Thr), while should be Asn-X-Ser(Thr), with X any non-proline residue, while | 118a | |||
| 178, C4-20,9 | (red circles mannose, blue squares N-acetyglucosamine) should be (open circles mannose, full squares N-acetyglucosamine; see additional reading reference 9 for the Oxford glycan symbol notation) | 118b | |||
| 178, F4-20 | new figure (gif) here | 118c | |||
| 191, in Additional reading | add reference no 9 | 9. Marino K, Bones J, Kattla JJ, et al. (2010) A systematic approach to protein glycosylation analysis: a path through the maze. Nat Chem Biol 6(10), 713-23. | 118d | ||
| 191, in Additional reading | add reference no 7 |
7. Aricescu AR, Assenberg R, Bill RM, et al. (2006) Eukaryotic expression: developments for structural proteomics. Acta Crystallogr. D62(10), 1114-1124. |
119 | ||
| 191, in Additional reading | add reference no 8 | 8. Walden H (2010) Selenium incorporation using recombinant techniques. Acta Crystallogr. D66(4), 352-357. | 120 | ||
| 193, refs 83 and 90 | refs 83 and 90 de Marco are identical | All refs in text past 83 need to be renumbered | 121 | IGNORED | |
| CHAPTER 5 | |||||
| 197,3,9 | material properties should be materials | 122 | |||
| 197,3,11 | prote_in should be protein | 123 | |||
| 201,3,4 | In the should be In our | 124 | |||
| 203,F 5-7 | Origin in left panel should not have a ' | updated figure (gif) can be downloaded here | 125 | ||
| 203,2,1 | paragraph should be headed by bold Limitations imposed on symmetry operations. In periodically... | 127 | |||
| 204,B5-3,6 | all rotation should be all crystallographic rotation | My mistake - rotation not rotations | 128 | ||
| 204,3,-3 | cell constants should be cell parameters | this is debatable, but serves consistency | 129 | ||
| 205,F5-10b | Origin of cell should be moved to red dyad for both different cell and different origin | updated figure 5-10_b (gif) can be downloaded here. | 130 | ||
| 206,3,9 | case) one should be case) of one | 132 | |||
| 208,F5-15 | Add the hexagonal unit cell in blue lines to emphasize the same unit cell volume and relation to asymmetric unit. New figure with missing dyade. | Thanks, Murphy - updated figure 5-15 (png) can be downloaded here. | 133 | MANDATORY | |
| 208, C5-15,end | Add: The blue outlined unit cells are equivalent in area (volume) and contents to the standard unit cell defined by the vectors a and b. | there is nothing wrong as it is but I think this addendum makes it even clearer. | 135 | ||
| 209, C5-16,-2 | the trigonal unit cell should be the equivalent trigonal unit cell as shown in blue in Figure 5-15 | 136 | |||
| 212, 2, -3 | is thus still is should be is thus still | Thx Markus! | 136a | MANDATORY | |
| 213,S5-2,col1,-1 | isolated \greekbeta-strand should be isolated greekbeta-structure | 137 | |||
| 213,S5-2,col2,2 | this \greekbeta-strand is should be these \greekbeta-strands are | 138 | |||
| 213,C5-21,6 | the \greekbeta-strand should be the \greekbeta-structure | 139 | |||
| 213,C5-21,7-8 | this \greekbeta-strand should be these \greekbeta-strands | 140 | |||
| 213,1,1 | "near" perfect should be near-perfect | 141 | |||
| 214,1,-1 | the resulting should be the corresponding | 142 | |||
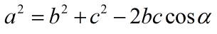
| 215,2,4 | thrid vector c perpendicular should be third vector perpendicular | Thx, Mamoru! | 142c | ||
| 216, F5-26 |
wrong labelling needs replacement | Thx, John! Updated figure here | 142a | ||
| 216, 5,4 |
Typesettting error; correct in MS (3/4a 1/3b 1/2a) should be (3/4a 1/3b 1/2c) | Thx, Mamoru! | 142b | ||
| 216, second paragraph from bottom, -1 | Sentence should end with thus (3 -1 -1). | remove the 31bar1bar. | 143 | ||
| 222,F5-34 | one visible line is drawn invisible | updated figure 5-34 (gif) here. | 144 | ||
| 224,4,2 | to operator should be to the trivial symbolic operator | 146 | |||
| 224,symbolic operators and matrix | Both the symbolic operator (2) and the matrix R3 are mistyped.... | updated operators and matrices can be downloaded here. Thx, Jonathan! | 147 | ||
| 225, C5-36, 8 | two folds should be two 2-folds | correct in MS | 147a | ||
| 227, T5-2 | In the last column, in rows 13 and 14, the multiplicity values need to be swapped, i.e. 6 and 9 to 9 and 6 | Corrected T5-2 here - thx Wes! | 147b | MANDATORY | |
| 228,4,-4 | parallel but should be parrallel to but | 148 | |||
| 230,1,7 | all m positions should be all M positions | 149 | |||
| 230,2,1 | "positions" should be "Positions" | 150 | |||
| 230, operator 4. |
4. should be 4.
| Copyediting error? - correct in original MS | 151 | ||
| 231,8,2 | (3200/42000 PDB entries) should be replaced with (Figure 5-44) | 152 | |||
| 232,C5-42, end | contacts. should be contacts of an individual molecule. | 152 | |||
| 233,1, 6 | would be at located at Cartesian should be would be located at Cartesian | Thx, Murph! | 152a | MANDATORY | |
| 233,1,-1,-2 | P becomes b·γ(not a!) should be P becomes b·cosγ (not a!) | Thx, Mamoru! | 152b | ||
| 233,C5-43,-2 | The odd degree signs are rubbish (already squawked in proof). Should be -> | become (b·cosγ, b·sinγ, 0) = b·(-0.5, 0.866, 0). | 153 | ||
| 233, E5-4 |
(5-4) should be | X and x are swapped..darn | 154 | ||
| 235,1,3 | equal. should be even. | 155 | |||
| 235, F5-44 | Figure had duplicte axis labels | updated figure 5-44 (gif) here. | 156 | ||
| 236,1,1-2 | remove the statements (+1 DoF of rotation) and (point group n22......rotation) | The parentheses statements are confusing in absence of further explanation | 158 | ||
| 237, F5-46 | Figure labels updated. Typesetter: new updated figures 5-46 (bmp) and 5-47 (bmp) need to be picked up from server from Feb 1, 2011 on - do not use old figure. |
Thx, John! here |
158a | ||
| 238,1,-1 | (31). should be (3 1). | needs a space | 159a | ||
| 238,2,-3 | Weiss indices (∞, ½) we obtain by either procedure Miller indices (0 2); for the blue set (3 0); and should be Weiss indices (½, ∞) we obtain by either procedure Miller indices (2 0); for the blue set (0 3); and | Thx, Luc! | 159b | ||
| 240, second bullet |
correct formula is:
| was correct in MS | 160 | ||
| 240, 2, 3 | to the real space axes should be to the other real space axis | clearer this way | 161 | ||
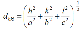
| 240,c5-49 | Add to legend: Note that in the case of an orthogonal real lattice the direction of each reciprocal axis coincides with the direction of its corresponding real axis. | 162 | |||
| 241, E5-16 | Formula is incorrect - cf appendix - see correct formula here | Thanks, Meredith and Finn! | 162a | MANDATORY | |
| 243,2,3 | around the origin should be moved between infinite) and of | infinite) around the origin of | 163 | ||
| 243,3,3 | interpretation of should be construction rules for | 164 | |||
| 245,2,1 | For each lattice is in real space R should be For each lattice in real space R | Thx, Rachelle! | 164a | MANDATORY | |
| 246 | Add to 5.7 Additional reading | 7. Dauter Z, & Jaskolski M (2010) How to read (and understand) Volume A of International Tables for Crystallography: an introduction for nonspecialists. J. Appl. Crystallogr. 43(5), 1150-1171. | 165 | ||
| CHAPTER 6 | |||||
| 249,F6-2 | add a logarithmic frequency axis (cf Atkins) | updated figure 6-2 (gif) here. | 166 | ||
| 249,B6-1,-3 | diffraction X-rays should be diffraction of X-rays | 168 | |||
| 249,B6-1,-5 | allows the use of the should be allows using the | probably better? | 169 | ||
| 249,B6-1, second eqn. | second equations for frequency ν needs to be inverted, should be ν = c/λ | Thx Wolfgang! | 170 | ||
| 251,C6-3,-6 | of electric should be of the electric | Thx Wolfgang! | 171 | ||
| 252,2,-3 | see)of should be see) of | Thx Wolfgang! | 172 | ||
| 253,2,-1 | Figure 6-6 should be Figure 6-5 | 173 | |||
| 255,-2,2 | though expansion should be through expansion | Thx Wolfgang! | 174 | ||
| 255,last line | photons gets should be photons get | 175 | |||
| 255,S6-3, above last equation | in mathematics, should be in mathematics, the Euler Identity | 176 | |||
| 255, S6-3, last equation | The Euler Identity has the wrong sign |
replace formula with correct one: |
177 | ||
| 256,F6-8 | needs to be replaced with new figure 6-8 |
updated gif here
- thx Murph et al. |
178 | ||
| 256,1,5ff | between incoming wave vector s0 and wave vector s1 of the scattered wave should be between scattered wave vector s1 and wave vector s0 of the incoming wave: | Thx Rachelle! | 178a | MANDATORY | |
| 256,C6-8,4 | incoming and scattered should be scattered and incoming | 179 | |||
| 256,c6-8,-5 | place (top panel). should be place. | 180 | |||
| 256,C6-8, end | add after end of caption: The reason for assigning the scattering angle units of 2θ becomes obvious once the diffraction of X-rays is interpreted as reflection on lattice planes (Figure 6-15). | 181 | |||
| 256,3,3 | First, should be Either | 182 | |||
| 256,5,1 | r the diameter of the lectron should be r the distance from the scattering centre | Thx, Jason! | 182a | MANDATORY | |
| 257,2,3 | orbits should be orbitals | Thx, Andy! | 183 | ||
| 258,F6-11 | needs to be replaced with new figure 6-11 | updated gif here | 185 | ||
| 258, E6-10 | First parenthesis term (lambda*r*s0-lambda*r*s1) should be (lambda*r*s1-lambda*r*s0) | Thx, Tomas! | 185a | ||
| 258, C6-11 | First parenthesis term (lambda*r*s0-lambda*r*s1) should be (lambda*r*s1-lambda*r*s0) | Thx, Tomas! | 185b | ||
| 259, e6-13 |
drop the FS in the beginning![]() | gif here | 186 | ||
| 259,2,1 | FS should be fS | Thx, Andy! | 187 | ||
| 259,first bullet,1 | FS should be fS | Thx, Andy! | 188 | ||
| 259,first bullet,2 | FS should be fS | Thx, Andy! | 189 | ||
| 259,first bullet,3 | delete which is anotated as fS | Thx, Andy! | 190 | ||
| 259,S6-4,-2 |
The exponent misses the B-factor, should
be
| This was correct in MS and copyedits. Grrr... | 191 | ||
| 259, bullet 4 | after atomic volume, the sentence should continue atomic volume, it is convenient to use the dimensions of [e-] for the atomic scattering factor. Its exact definition however is the ratio of the atom's scattering to the scattering for a free electron, and therefore it is strictly speaking a dimensionless factor or 'quantity of dimension one'. | A can of worms we do not want to open.... | 192 | MANDATORY | |
| 260,3,3 | cat ions should be cations | Thx Wolfgang! | 193 | ||
| 263,5,-2 | correlation should be relation | 194 | |||
| 264,c6-14,-6 | Scattering should be The total scattering | 195 | |||
| 264,c6-14, end | Add: In practice, the straight-ahead scattering at 2θ = 0º cannot be separated from the unscattered direct (incoming or primary) beam. | Thx, Andy! | 196 | ||
| 265,s6-7,-5 | complied should be compiled | Thx, Andy! | 197 | ||
| 264, f6-14 | needs to be replaced with new figure 6-14 | updated gif here | 198 | ||
| 266,-1,-4 | space As should be space. As | Thx Wolfgang! | 199 | ||
| 267, F6-17 | structure factors mislabelled | Thx, John! - Figure here | MANDAtORY | ||
| 268 E6-29 |
should be | Thanks Rasmus! | 199b | MANDATORY | |
| 269,C6-18,10 | The diffraction patterns should be In the first four rows, the diffraction patterns | 200 | |||
| 273, S6-10, -4 | (https://ice.chem.wisc.edu/catalogitems/ScienceKits.htm) should be either (https://ice.chem.wisc.edu/Catalog/SciKits.html) or (see link on the book web site) | Thx, Luc! | 200a | ||
| 273,c6-22,-5 | zone or should be zone (cusp) or | Thanks, AK! | 201 | ||
| 275,2,1 | reflection intensties are collected should be reflections are collected | Thx, Murph! | 201a | MANDATORY | |
| 276,-3,-2 | zero, they are real should be zero, their structure factors are real | 202 | |||
| 276,-2,-1 | exp(phi(h)) should be exp(i.phi(h)) | Thx, Murph aka Francesco | 202a | MANDATORY | |
| 277,last line equation |
Square of sin misplaced, should be
|
|
203 | ||
| 278, 4th equation on page | closing parenthesis missing | download here. Thx, Wolfgang! | 204 | ||
| 280, E6-45 | Xj should be xj Errror in correction - 6-46 needed change not 6-45 - seee downloaded formulas | download here. Thx Rachelle! | 204a | MANDATORY | |
| 280, E6-46 | xj should be Xj | download here. Thx, Wolfgang! | 205 | MANDATORY | |
| 281,Table 6-3 | The epsilon for general reflections should be 1 not zero | download corrected table here | 206 | ||
| 282, E6-47,6-48 | the four later capital greek psi are inconsistent in font with the body text and first 2 psi | Typesetter: use same letters with same font type as in body text download here. Thx, Wolfgang! | 207 | MANDATORY | |
| 283, E6-49 |
I think proportional is better than equal This is misprinted in second printing!!! 1 should be I | download here - thx Mort! | 208 | MANDATORY | |
| 283, 4, last line before e6-51 | becomes15 should be becomes15,16 | Thanks, Kay and Jim! | 209 | ||
| 283, 7, last line before e6-52 | given16 should be given14 | Thanks, Kay and Jim! | 210 | ||
| 285,F6-29 | Removed the stray 'plot area' at M-edges | updated figure 6-29 (gif) here. | 211 | ||
| 287,2,-1 | Structure, or EXAFS spectrum. should be Structure (EXAFS) spectrum. | 213 | |||
| 290 |
Insert new Sidebar 6-11a, update all other sidebar numbers and
references Typesetter: Word doc Sidebar_6-11a.docx in /data/book/chapter_6 on server | gif here. | 214 | MANDATORY | |
| 291,eqn6-60 | blue plus/minus signs need to be swapped | download here. Thx, Wolfgang! | 215 | ||
| 291,S6-12,Col2,3 | improved should be improve | 216 | |||
| 294,3,-1 | no more than should be up to | 217 | |||
| 297, B6-12,4 | resonance absorption should be absorption | 218 | |||
| 297,B6-12,9 | Line break after pairs of reflection which should be pairs of reflections. | 219 | |||
| 297,B6-12,9 | New paragraph Similarly, dispersive should be Dispersive | 220 | |||
| 299,3,-3 | Ewald sphere should be resolution sphere | 221 | |||
| 299,4,4 | delete by ignoring T | typesetter | 222 | ||
| 299,4,8 | after formulas, by ignoring the two operator should be by ignoring T the two operator | 223 | |||
| 300, Table 6-6 | space group 180 is mistyped - should be P6222 not P62222 (was correct in MS) | Thx, Tommy! | 224 | ||
| 300, Table 6-6 | entire dividing line between lattice types oP and oI needs to gow down ine line. | Thx, Chris! Image here. | 224a | MANDATORY | |
| 302,1,1 | the anomalous should be the imaginary anomalous | 225 | |||
| 302,S6-13,col2,1 | le(a)vus should be l(a)evus | Thx, Wolfgang! | 226 | ||
| 303, E6-70 | φh should be φh | Thx Mort - Error by typsetting - gif here | 226b | MANDATORY | |
| 304,2,3 | phase of for should be phase of | Thx, Murph! | MANDATORY | ||
| 304, F6-40 | Figure 6-40 had a labelling error. | Thx, Bryan! fixed gif here | 226a | ||
| 306,1,-1 | delete last sentence They automatically....entire unit cell. | 227 | |||
| 311, ref 14 | old reference 16 should become new reference 14 | 14. Giacovazzo C, Monaco HL, Viterbo D, et al. (2002) Fundamentals of Crystallography. Oxford, UK: Oxford Science Publications. | 228 | ||
| 311, ref 15 | old reference 15 superceded by new reference, old ref 15 deleted | 15. Milch JR, & Minor TC (1974) The indexing of single-crystal X-ray rotation photographs. J. Appl. Crystallogr. 7, 502-505. | 229 | ||
| 311, ref 16 | old reference 14 should become new reference 16 | 16. Kabsch W (1988) Evaluation of single-crystal X-ray diffraction data from a position-sensitive detector. J. Appl. Crystallogr. 21, 916–924. | 230 | ||
| 311, ref 30 | Methoda should be Methods | was ok in MS and copyedits | 231 | ||
| CHAPTER 7 | |||||
| 313,1,4 | the related concept should be the concept | 231a | MANDATORY | ||
| 314, 5,2 | data, should be data; | 231b | MANDATORY | ||
| 314, 5,3 | scaling, should be scaling; | 231c | MANDATORY | ||
| 314,5,4 | phasing, should be phasing; | 231d | MANDATORY | ||
| 314,5,-3 | and the related Bayesian should be and Bayesian | 231e | MANDATORY | ||
| 314,B7-1,3 | and related Bayesian should be and Bayesian | 231f | MANDATORY | ||
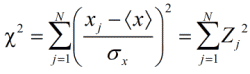
| 315, C7-1, -9 | variance σ2x , the should be variance σ2x (indicating the width of the distribution), the | 231g | |||
| 316, 3 lines after E7-4 | individual probabilities should be individual (marginal) probabilities | 231h | MANDATORY | ||
| 317,4 line from bottom | then becomes should be then becomes the joint probability | 231i | MANDATORY | ||
| 317, 2 line from bottom | desired probability should be desired marginal probability | 231j | MANDATORY | ||
| 318,2,1 | variables should be variables (marginalization) | 231k | MANDATORY | ||
| 318,6 line from bottom | sometimes (for obvious reasons) should be sometimes | 231l | MANDATORY | ||
| 319,1,3 | Add: An exellent introduction to Probability and Bayesian Inference can be found in the highy recommended text by R. L. Winker (reference 6 in 7.13 Additional Reading). | 231m | MANDATORY | ||
| 320, C7-2 | Add: The Possion distribution itself is an limiting form of the Binomial distributon, given a large number of posssible independent events with a low probability of each to occur. | 231n | MANDATORY | ||
| 320 |
I think a sidebar explaining the variance summations in bracket
notation should go there. Typesetter: Word doc Sidebar7-0.docx in /data/book/chapter_7 on server | Image vailable here | 232 | MANDATORY | |
| 321, E7-24 |
![]() | replace formula with extended one | 232b | ||
| 321,C7-3,-4 | after ...in its range. Insert following sentence ...in its range (the FWHM is often used to describe functions that do not have a defined variance, such as the Cauchy-Lorentz function in spectroscopy). The percentage.... | 234 | |||
| 323, C7-5 | Add: Because the CDF is obtained by integration of the underlying PDF, the slope (derivative) at a point of the CDF gives the value of the probability at that point. The figure verifies that the slope of the CDF is steepest at the peak of the PDF. | 234a | MANDATORY | ||
| 324,4,-2 | bative should be native | 235 | |||
| 324, C7-6, add | add after last line of caption: We also realize that for a small number of samples (n < 10), the normal distribution underestimates the sampling error. In such cases, the t- or Student-distribution with its wider wings at small n is approriate for estimating the sampling error. For larger n, the Student distribution rapidly approaches the normal distribution. | 235a | MANDATORY | ||
| 326, Eqn 7-35 | Replace formula 7-35 with extended form |
![]() |
235b | ||
| 327,last sentence | o_r should be over | 236 | |||
| 328, paragraph 6 | chain rule should be substitution | Thanks, Andi! | 236a | MANDATORY | |
| 329, E7-46 | The outer parentheses are too fat | typesetter | 237 | STILL ODD | |
| 329, E7-47 | The outer parentheses are too fat | typesetter | 238 | STILL ODD | |
| 330,S7-1,e2 |
| for consistency | 239 | Superscript 2 too low | |
| 330,2,2 | of calculated structure factor amplitudes should be of structure factor amplitudes calculated | 240 | |||
| 332,6,2 | R-value should be R-value | 241 | |||
| 335,1,1 | provided 1763 should be provided in 1763 | Thx, Shankar! | 242 | ||
| 335,1,2 | centuries and should be centuries, and | 243 | |||
| 335, S7-2,1, 15 | and function and even should be and function, and even | Comma here for readability | 244 | ||
| 336, 5, 6 | a proportionality constant should be a constant | 244a | |||
| 338,4,4 | and for our should be and from our | 245 | |||
| 339,-2,2 | just as a should be just a | 9 lines up from bottom of page | 246 | ||
| 341,5, -5 | observations xi should be observations xk | Thx, Shankar! | 247 | ||
| 341,5, -4 | variance σ2x(i) should be variance σ2x(k) | Thx, Shankar! | 248 | ||
| 342,2,3 | x, y, z, B, n and for each should be x, y, z, B, n for each | 249 | |||
| 342, paragraph after E7-82, 5 | replace the formula - first derivative vector only, not second -correct in MS! |
|
249b | ||
| 344,3,-2 | thus intensities should be thus on intensities | 250 | |||
| 345, T7-1 | row 1 col 4 the data value for sigIbayes should be 2.3 instead of 3.0 | Thanks, Bob! New table 7-1 here | 250e | MANDATORY | |
| 347,3,3 | and the derived should be and the corresponding | 250a | |||
| 347,3,-1 | model strucure factors. should be model structure. | 250b | MANDATORY | ||
| 348, 2,-4 | x follows the should be x is a | 250c | IMANDATORY | ||
| 348, eq 7-93b | outer parentheses humungous - was ok before | New typesetting error | 250d | ||
| 348, last line | distribution of atoms along the should be distribution of atom contributions along the | 251 | |||
| 349,4,1 | the variance of /greeksigmaetc/ our should be the variance /greeksigmaetc/ of our | 252 | |||
| 349,6,1 (after E 7-98) | coordinates y should be coordinates imply | was correct in 2nd proof... | 253 | ||
| 350,C7-10,last | statistical analysis. should be statistical descriptors. | 254 | |||
| 351,4,3 | weak than general should be weak compared to general | 254a | MANDATORY | ||
| 353,2,1 | can be can be readily should be can be readily | Thx, Shankar! | 255 | ||
| 353, eq 7-112 | outer parentheses humungous - was ok before | 255a | |||
| 354, eq 7-114 | outer parentheses humungous - was ok before | 255b | |||
| 354, E7-116 |
P(Z) should be N(Z):
| 256 | |||
| 355,4,5 | intesity should be intensity | Thx, Murph! | MANDATORY | ||
| 356,E7-119 |
exponent squared disappeared in second printing - typesetting error | New typesetting error - Thx, Bob, old correct equation here | 257 | MANDATORY | |
| 356,3,1 (line 18) | <Iobs>bin should be <Iabs>bin | was correct in manuscript -thx Pete! | 258 | ||
| 356,6,1 | Let us inspect should be Let us examine | 259 | |||
| 357,C7-15,6 | regression though should be regression through | 260 | |||
| 358,-2,-5 | Rice distribution. 46 known in should be Rice distribution 46 known in | no period | 260a | ||
| 361,1,7 | imaginary parts should be imaginary axes | 261 | |||
| 361,C7-18,7 | d · F should be d · f | 262 | |||
| 362,3,2 | then needs should be needs | 263 | |||
| 363, E7-146 |
Equation mistyped
| Thanks, Robert! | 263a | ||
| 363, last para, last line | Woolfson distributions should be Woolfson amplitude distributions | 263b | MANDATORY | ||
| 368, 7.13 | Add reference to Additional Reading | 5. Jeffreys H (1973) Scientific Inference. Cambridge: Cambridge University Press. | 263b | Mandatory | |
| 368, 7.13 | Add reference to Additional Reading | 6. Winkler RL (2010) An Introduction to Bayesian Inference and Decision. Gainesville, FL: Probabilistic Publishing. | 263c | Mandatory | |
| CHAPTER 8 | |||||
| 371,2, last | decision which should be decision about which | Thx, Rachelle! | 263e | MANDATORY | |
| 372, last line | breaking radiation should be braking radiation | Thx, Sam! | 263f | Mandatory | |
| 374, T8-1 Capt, Line 1 | Shorter wavelengths provide stronger diffraction but also higher absorption. should be X-rays with longer wavelengths (lower photon energy) provide stronger diffraction (Equation 6-52) but experience higher absorption (Figure 6-29 and Sidebar 6-11). | Thx, Mamoru! | 263d | ||
| 377,1,1 | the solution of should be the solutions of | 264 | |||
| 377,1,7 | They main should be The main | Thx, Shankar! | 265 | ||
| 377, 2,6 | named because cause should be named because | Thx, Shankar! | 266 | ||
| 378,3,4 | though a high should be through a high | 267 | |||
| 378,5,-5 | the dispersive should be the anomalous and dispersive | 268 | MANDATORY | ||
| 380,1,1 | Huu at the University of California appears yellow highlighted | No highlight | 269 | ||
| 380, C8-7 | All my copies have a blue line/smudge in the caption | Production check | 270 | ||
| 381,3,-3 | can be can be should be can be | Thx, Shankar! | 271 | ||
| 381, S8-2 | Replace sidebar with updated sidebar sidebar_8_2_new.docx on server | image here | 272 | ||
| 383,S8-3,4 | 1960s and the should be 1960s. The | break sentence | 273 | ||
| 386, F8-13 | replace figure 8-13 with updated figure with different loop. Replace last sentence of C8-13 | New figure availabe here and in gallery | 274 | ||
| 386, C8-13 | Replace last sentence: ...mounting pin. The insert shows a harvested crystal in an older style nylon loop that is quite large for the crystal. Pre-fabricated loops are now availabe in many sizes, allowing to select a harvesting loop that matches crystal dimensions. The cross-hairs indicate the crystal location determined by image recognition software. Insert image courtesy of Andrea Schmidt, EMBL Hamburg. | Thanks for the new insert, Andrea! | 276 | ||
| 385,2,8 | with card or should be with a card or | 277 | |||
| 386,2,4 | puck or a vial located in the puck (Figure 8-14). should be puck (Figure 8-14) or a vial located in the puck. | 278 | |||
| 390,C8-18,6 | twin fraction α = 0.5 generates should be twin fraction α ≠ 0.5 generates | was correct in manuscript -thx Shankar! | 279 | ||
| 390,C8-18,-3 | with α ≠ 0.5, the should be with α = 0.5, the | 280 | |||
| 391, Table 8-3, trigonal |
The correct space groups for point groups
312 and 321 respectively are: 312 P312, P3112, P3212 321 P321, P3121, P3221 | Thx, Roberto! | 280a | ||
| 392-393 | Derivation of N(H) mixed versions | Thx, Mark and Todd! Correction here. | 280b | MANDATORY | |
| 394,3,-4 | SHELXL and PHENIX/Refine should be SHELXL, REFMAC, and PHENIX/Refine | update | 281 | ||
| 395,3,7 | to abandon should be or to abandon | 282 | |||
| 396,3,4 | latice should be lattice | 283 | |||
| 398,F8-23 a b | Replace panels a and b - the crystal moves now too in panel b when used in powerpoints presentations | Thanks, David! New gif images here (a) and here (b) | 283a | Mandatory | |
| 400,1,-1 | only because should be because | 284 | |||
| 403,2,-2 | of crystal should be of a crystal | 285 | |||
| 406,4,-2 | capable of processing and refining modulated structures should be capable of processing incommensurate diffraction data and refining modulated structures | 286 | |||
| 407,2,-6 | advantage the should be advantage of the | Thx, Shankar! | 287 | ||
| 409,2,-5 | Wang should be B. C. Wang | 288 | |||
| 413, E 8-18 | parentheses humungous - was ok before | New typesetting error | 288a | Mandatory | |
| 413,4-2 | perferablycollected should be preferably collected | 289 | |||
| 416,B8-10, -1 | Formula should be typeset like 8-24 | typesetter error - was correct in proofs | 290 | ||
| 418,1,5 | opposed should be related | 291 | |||
| 418,T8-4, last | I23 and I213 are not an enantiomorphic pair, only indistinguishable by extinction rule | MANDATORY | |||
| 419,2,-2 | which tends overall to result in worse should be which results in worse overall | 292 | |||
| 419,3,9 | low penalty the should be low penalty. The | 293 | |||
| 419,3,-4 | symmetry). should be symmetry. | 294 | |||
| 422,T8-5; 423, T8-6 | Does the highlighting in the table have to look this ugly? | Revert to my original design. | 295 | ||
| 423,2,-3 | (3.8%) should be (3.5%) | Thx, Shankar! | 296 | ||
| 428,C8-42,3 | The probability distribution plot (CDF, left panel) should be The plot of the cumulative probability distribution function (CDF, left panel) | 297 | |||
| 434, Additional Reading | Add ref 9 to additional reading | 9. Garman EF, Pearson AR, & Vonrhein C (2010) Experimental Phasing and Radiation Damage - Proceedings of the CCP4 study weekend. Acta Crystallogr. D66(4), 325-501. | 298 | ||
| 434, Additional Reading | Add ref 10 to additional reading | 10. Garman E (2010) Radiation damage in macromolecular crystallography: what is it and why should we care? Acta Crystallogr. D66(4), 339-351. | 299 | ||
| 435, ref 38 | Incorrect reference 38 | 38. Viola R, Carman P, Walsh J, et al. (2007) Automated robotic harvesting of protein crystals - addressing a critical bottleneck or instrumentation overkill? J. Struct. Funct. Genomics 8(4), 145-152. | 299a | ||
| CHAPTER 9 | |||||
| 439, Figure | The figure is too small. | 300 | IGNORED | ||
| 441,E9-7 | The equation is typeset larger than others. | Match typesetting | 301 | ||
| 442, E9-11 | FT should be FT-1 (appears twice in E9-11) | Thx, Wes, Murph! gif here | 301a | MANDATORY | |
| 442, e9-14 |
The equation is mistyped. it should be![]() |
Hires jpg here Thx, Tobias! |
302 | ||
| On page 444 and 445 there are a series of correlated errors, resulting from the fact that I wrote 'convolution' several times when it should have been 'sampling'. The fact is that the diffraction pattern is of course the sampling (multiplication) of the molecular transform with the reciprocal lattice function, not convolution. This is correct in other places but I missed it here. |
Thanks, Erhard! |
303 | |||
| 444, F9-2 | convolution sign in lower panel should be multiplication symbol | updated figure 9-2 (gif) can be downloaded here. | 304 | ||
| 444,1,4 | convolution should be sampling (or multiplication) | 306 | |||
| 444,C9-2,7 |
as a convolution of the reciprocal lattice with the reciprocal transform of the molecule. should be as a sampling (multiplication) of the molecular transform with the reciprocal lattice. | 307 | |||
| 444,C9-2,-1 | delete corresponding | 308 | |||
| 445,1,2 | Similarly, the sampling should be For their transforms, the sampling (or multiplication) | 309 | |||
| 445,1,4 | to sampling should be to convoluting | 310 | |||
| 445,B9-2,-3 | molecular envelope should be molecular scattering envelope | 311 | |||
| 447,S9-2,6 | Friedels law should be Friedel's law | 312 | |||
| 447,S9-2,col2,8 | or in practice compute should be or compute | update | 313 | ||
| 447,S9-2, end | Add: Some refinement programs such as REFMAC and SHELXL allow refinement against anomalous data. | update | 314 | ||
| 448,Paragraph 1 | Paragraph should be lead by Data truncation. | 315 | |||
| 448,Paragraph 2 | Paragraph should be lead by Grid spacing. | 316 | |||
| 449,C9-6,5 | occupation should be occupancy | 317 | |||
| 450, E9-21 |
rho(r\sub\j) should be rho(r\sub\i) |
|
318 | ||
| 451,C9-7,11 | hydrophobic Ile should be hydrophobic Val | .. | 319 | ||
| 452,1,3 | molecules is should be molecules from electron density alone is | 320 | |||
| 453,s9-4, 1 | The N in Nominal should not be blue highlighted but bold | Thx, Shankar! | 321 | ||
| 453,col1,-3 | reasonable well should be reasonably well | Thx, Rachelle! | 321a | MANDATORY | |
| 454,C9-10,8 | compete data should be complete data | Thx, Shankar! | 322 | ||
| 454,C9-10,-7 | missing at should be missing, but at | 323 | |||
| 455,1,2 | Figure 9-11 the should be Figure 9-11, the | 324 | |||
| 455, C9-12 | last character should be a l (use a serif font) - looks like a backslash | 325 | |||
| 456,3,-6 | or B-factors, We should be or B-factors. We | Thx, Shankar! | 326 | ||
| 457,1,1 | same effect should be same attenuating effect | 327 | |||
| 457,1,2 | B-factors and should be B-factors, and | 328 | |||
| 457,1,3 | B-factor should be B-factor, | 329 | |||
| 459,3,3 | phase error should be mean phase error | 330 | |||
| 461,S9-5, equation 4 | r.m.s.(F, p_hs) should be r.m.s.(F, phs) | Thx, Shankar! | 331 | ||
| 461,C9-18,-3 | lower left should be lower right | 332 | |||
| 462,S9-6,4 | or served should be or have served | I think so.. | 333 | ||
| 463, 5, -7 | reconstructred should be reconstructed | Thx, Rachelle! | 333b | MANDATORY | |
| 463,lastpara,2 | or finding should be or for finding | I think so.. | 334 | ||
| 467, 2, 1 | (9-30) should be Equation 9-30 | Thx, Rachelle! | 334b | MANDATORY | |
| 467,last para, last line | Add sentence: Considering the centrosymmetry, the Patterson map has N(N-1)/2 unique peaks. | 335 | |||
| CHAPTER 10 | |||||
| 477,B10-1,1 | The full stop after phasing. is blue | Thx, Shankar! | 336 | ||
| 479,1,1 | FPA for each derivative should be FP for the native | 337 | |||
| 479,B10-2,last sentence | replace with: As a result of the weaker signal, anomalous phasing requires slightly more marker atoms per residue, but even.... | 338 | |||
| 481,1,1 | electronic should be scattering | 339 | |||
| 481,2,7 | powerful and complete should be powerful. Complete | Thx, Rachelle! | 339a | MANDATORY | |
| 481,2,-4 |
Update reference 21 the emerging PHENIX21 suite should be the PHENIX21 suite | 21. Adams PD, Afonine PV, Bunkoczi G, et al. (2010) PHENIX: a comprehensive Python-based system for macromolecular structure solution. Acta Crystallographica D66(2), 213-221. | 340 | ||
| 482,1,-5 | possible metal should be possible | 341 | |||
| 484 last para,-3 | R-value should be RF-value | 342 | |||
| 486 F10-11 | parentheses too fat | typesetter | 343 | MANDATORY | |
| 487,1,3 | 1-1, 2-2, 3-3, 1-2, 1-3, and 2-3 should be 1-2, 1-3, 2-3, 2-1, 3-1 and 3-2 | 344 | |||
| 491,3,4 | scaling in should be scaling is | Thanks, John | MANDATORY | ||
| 493,3,4 | heavy atom searches. should be more complex heavy atom searches. | 345 | |||
| 500,S10-3,5 | described below. It was should be described in Section 10.7. CF was | 346 | |||
| 502,3,1 |
replace entire paragraph 'A single source
...Chapter 6' with
Anomalous scattering of X-rays by heavy marker
atoms can also provide a source of electronic differences. The result
are intensity differences between two reflections of a
Bijvoet pair,
and the corresponding set of SAD data collected from a single crystal
at a wavelength corresponding to a X-ray energy above an absorption
edge will contain pairs of reflections with different intensities for
non-phase-restricted reflections (compare the anomalous structure
factor table computed for BPTI in Chapter 6). | 347 | |||
| 502,5,2 | anomalous contribution of an anomalous scatterer is should be anomalous scattering contribution f" is | .. | 348 | ||
| 503, C1, 1 | The right panel should be The left panel | Thx, John! | 348a | MANDATORY | |
| 504,S10-4,col1,10 | rapid should be fast | 349 | |||
| 504,S10-4,col1,-2 | A version of SHELXE to be released soon119 will also include......module. should be SHELXE now also includes......module.119 | see update ref 119 on page 545 | 350 | ||
| 504,S10-4,col2,4 | ....refinement.119 should be refinement (Sidebar 10-12). | new sidebar 10-12 on page 535 see there | 351 | MANDATORY | |
| 504,S10-4,col2,2 | will then provide should be provides | update | 352 | ||
| 505,3,-4 | pair such should be pair (such | Thx, Shankar! | 353 | ||
| 507,2,-3 | phase angles should be phase angle distribution | 354 | |||
| 507,T10-2,3 | replacement and should be replacement, and | 355 | |||
| 508, 1, 1 | wavlength should be wavelength | Thx, Rachelle! | 355a | MANDATORY | |
| 510, C10-19, 5 |
The blue probability distribution is based on the exact values from the MIR case in Figure 10-17. For derivative 1, the phase should beThe probability distributions are representing the MIR case shown in Figure 10-17. For derivative 1 (blue curve), the phase | Thx, Rachelle! | 355b | MANDATORY | |
| 511,1,5 | map: the should be map. The | 356 | |||
| 511,1,-1 | amplitude should be amplitude: | 357 | |||
| 519,6.line from bottom | addition of should be summation of | 358 | |||
| 520,1,4 |
| Thx, Shankar! | 359 | ||
| 522,2,1 | produces aFourier should be produces Fourier | Thx, Shankar! | 360 | ||
| 523,3, add | At the end of paragraph, add: Bar charts showing the relative magnitude of HL-coefficients for various phasing scenarios can be found in the review by McCoy and Readx. | x. McCoy AJ, & Read RJ (2010) Experimental phasing: best practice and pitfalls. Acta Crystallogr. D66(4), 458-469. | 361 | MANDATORY | |
| 526, S10-10,5 | phasing method that should be phasing method (ARCIMBOLDO) that is | 362 | |||
| 526, 2, 7 | g(x)-gas should be g(x)-g as (space before as missing) | 363 | |||
| 527,C10-26,10 | near-random phase should be near-random mean phase | 364 | |||
| 530,3,-3 | resolution and we check should be resolution. We therefore check | 365 | |||
| 531,5,-2 | still can find should be still find | Thx, Shankar! | 366 | ||
| 535, 1,4 | add to paragraph: The switch -an used in the example below instructs SHELXE to conduct n cycles of autotracing, with -nm specifying the number of NCS related copies in the asymmetric unit. Both switches are availabe in the most recent SHELXE release. |
-a in Courier-style
fixed font -n in Courier-style fixed font |
367 | ||
| 535, 2,3 |
shelxd vta1_ fa shelxc vta1 vta1_ fa –s0.5 –m20 –e1.0 –h -b should be shelxd vta1_fa shelxe vta1 vta1_fa –s0.5 –m20 –e1.0 –h -b -a3 -n2 |
correct in MS...remove also the spaces in vta1_ fa
to vta1_fa All in Courier-style fixed font |
368 | ||
| 535, 3,1 |
with the input to SHELXD should be with the input to SHELXC (also including instructions used by SHELXD) | 369 | |||
| 535,last para, -3 | The returned model should be The model returned by the ARP/wARP server | 370 | |||
| 535,last para, -2 | subunits should be copies | 371 | |||
| 535, last para | Add: We could also have used the SHELXE poly-alanine model directly and rebuilt it with a model building program of our choice - an excellent exercise for beginners. | 372 | MANDATORY | ||
| 535 |
add new sidebar 10-12 Typesetter: Word doc Sidebar10-12.docx in /data/book/chapter_12 on server | image here | 373 | MANDATORY | |
| 537,2,-5 | f", and .... should be f". | delete rest of garbled sentence. | 374 | ||
| 537,3,3 | only XPREP should be XPREP only | 374b | MANDATORY | ||
| 538, C10-37, 9 | edge is also an should be edge is an | 375 | |||
| 538,3,1 | of the MAD should be of our MAD | 376 | |||
| 538,3,5 | structures and should be structures, and | 377 | |||
| 542, Additional Reading | Add ref 9 to additional reading | 9. Garman EF, Pearson AR, & Vonrhein C (2010) Experimental Phasing and Radiation Damage - Proceedings of the CCP4 study weekend. Acta Crystallogr. D66(4), 325-501. | 378 | ||
| 542, Additional Reading | Add ref 10 to additional reading | 10. McCoy AJ, & Read RJ (2010) Experimental phasing: best practice and pitfalls. Acta Crystallogr. D66(4), 458-469. | 379 | ||
| 545, ref 119 | update ref 119 | 119. Sheldrick GM (2010) Experimental phasing with SHELXC/D/E: combining chain tracing with density modification. Acta Crystallogr. D66, 479-485. | 380 | ||
| 545, ref 120 | update reference 120 | Nature Methods 6(9): 651-653 (2009) | 381 | ||
| CHAPTER 11 | |||||
| 547,1,4 | associated should be corresponding | 382 | |||
| 547,4,2 | crystal structure. should be crystal structure, given only diffraction data. | 383 | |||
| 550, t11-1, caption | better than average should be better-than-average | hyphens increase readability | 384 | ||
| 551,1,-6 | structur-ally | odd hyphenation | 385 | ||
| 551,1,-5 | pairs LV and HV and LC and HC are should be pairs LV and HV, and LC and HC, are | 386 | |||
| 551,2,-2 | symmetry, any should be symmetry, and any | 387 | |||
| 552,1,-4 | The rotationn R T. should beeThe rotationn Rtakes place around the center of mass of the molecule, followed by a translationn T. | Was correct in MS - thx, Shankar! | 388 | ||
| 552, entire page | All RA,B and TA,B - also in equations - should be replaced with RAB and TAB for consistent notation | Figure 11-3 should be replaced, jpeg available here. | 389 | ||
| 555, e11-8 | Top right matrix element should be cos(alpha)sin(beta) |
Thanks, Marcus! gif of correct DCM here |
MANDATORY | ||
| 555, last para, -3 | } The eigenvector should be }. The Eigenvector (full stop missing) | Thx, Shankar! | 391 | ||
| 556,E11-14 |
![]() | for consistency all Ri,j should be Rij | 392 | ||
| 556,E11-15 |
| for consistency all rij should be Rij | 393 | ||
| 556,paragraph Spherical Coordinates | the capital greek symbols for phi Φ and psi Ψ in the paragraph text need to be replaced with small greek phi φ and psi ψ in this paragraph and in box 11-3. See formula 11-16 for correct symbols. | Was correct in MS. | 394 | ||
| 556, C11-5,4 | the lateral angle Φ should be the azimuthal angle φ (note correct smalll greek symbol phi) | Thx, Shankar! | 395 | ||
| 556, C11-5,5 | the azimuthal angle Ψ should be the lateral (inclination) angle ψ (note correct smalll greek symbol psi) | 396 | |||
| 557,E11-16 |
![]() | for consistency all Ri,j should be Rij | 397 | ||
| 557,2,6 | crystal. Rotations should be crystal lattice. Crystallographic rotations | 398 | |||
| 562,C11-8,6 | of reflections similar should be of reflections, similar | 399 | |||
| 563, C11-11, 11 | 2z). = From should be 2z). From | Thx, Rachelle! | 399a | MANDATORY | |
| 565,S11-2,last sentence | boundaries. should be boundaries, or in the case of domain swapping. | 400 | |||
| 568,3,1 | function G.. should be function G. | Thx, Shankar! | 401 | ||
| 570,C11-16,3 | NCS peak.. should be NCS peak. | Thx, Shankar! | 402 | ||
| 573,3,4 | difference should be experimental isomorphous or anomalous difference | 403 | |||
| 576,2,3 | six parameters should be six placement parameters | 404 | |||
| 578,S115,Col2,9 | largely sheet should be largely-sheet | 405 | |||
| 578,S115,Col2,11 | largely helical should be largely-helical | 406 | |||
| 578,1,7 | as a consequence many trials to find should be as a consequence, many trials are required to find | 407 | |||
| 582,C11-24, -3 | crystallography symmetry should be crystallographic symmetry | 408 | |||
| 584,3,4 | on a general position should be on a special position | 409 | |||
| 584,3,6 | molecule replacement should be molecular replacement | Thx, Rachelle! | 409a | MANDATORY | |
| 586,4,4 | of oriented probe observed data. should be of the oriented probe and the observed data. | ... | 410 | ||
| 588, B11-10, 5 | rotation; search should be rotation search | Thx, Rachelle! | 410a | MANDATORY | |
| 592,C11-27,4 | and not solvent should be (instead of solvent) | 411 | |||
| 594, S11-8 | Add after last line: Following a thorough investigation, it has been determined that twelve structures reported by the same individual are based on fabricated data, and removal of these entires from the PDB has been recommended.114 | Ref 114 on p 605 | 412 | ||
| 596,C11-26,-2 | Rice function and for centrics by the Woolfson function. should be Rice distribution and for centrics by the Woolfson distribution. | 413 | |||
| 598,F11-30 | move figure and caption to top of page. | typesetter | 414 | ||
| 598,E11-58 | Brackets too fat, obscure superscript | typesetter | 415 | ||
| 598, 4, -1 | Phaser should be Phaser. | Thx, Rachelle! | 415a | MANDATORY | |
| 599,3,-3 | fragent should be fragment | Thx, Rachelle! | 415b | MANDATORY | |
| 601, last word | that should be than | Thx, Rachelle! | 415c | MANDATORY | |
| 602, bullet3, 3 | corrections. should be models. | Thx, Rachelle! | 415d | MANDATORY | |
| 603 |
Update reference 9 | 9. Adams PD, Afonine PV, Bunkoczi G, et al. (2010) PHENIX: a comprehensive Python-based system for macromolecular structure solution. Acta Crystallographica D66(2), 213-221. | 416 | ||
| 605,references | Add reference 114 | 114. Baker EN, Dauter Z, Einspahr H, et al. (2010) In defence of our science - validation now! Acta Crystallogr. D66(2), 115. | 417 | ||
| CHAPTER 12 | |||||
| 607,1,2 | model and local real space fitting of residues in electron density should be model into electron density and local real space fitting of residues | 418 | |||
| 607,3,1 | errors remaining after rebuilding the model should be errors that remain after rebuilding, the model | 419 | |||
| 613,5,-5 | 60% should be 60° | 420 | |||
| 615,3,2 | data and is should be data. L is | 421 | |||
| 619, B12-3, 1, 4 | exp(φ) should be exp (i.φ) | 2 times in in-line formulas, correct in manuscript! | 421a | MANDATORY | |
| 619, B12-3, 2, 5 | exp(φ) should be exp (i.φ) | in FML formula, correct in manuscript! | 421b | MANDATORY | |
| 622,1,2 | delete that need adjustment | 422 | MANDATORY | ||
| 622, B12-4, -6 | for errors should be for non-random errors | 423 | |||
| 626,1,2 | an a posteriori R-free can should be an a posteriori R-free 35 can | Thx, Tommy! | 424 | ||
| 630, 3, -3 | the vector product mk should be the scalar product product of mk | Thx, Jason! | 424a | MANDATORY | |
| 630,3,1 | The phenyl and indolyl rings of Phe, Tyr, His, and Trp should be The phenyl, indole, and imidazole rings of Phe, Tyr, His, and Trp | Thx, Tommy! | 425 | ||
| 631, C 12-13 | Following a suggestion of George Sheldrick, add following paragraph after last sentence of figure caption: | Note that different programs may use different definitions and atom naming conventions in their chiral volume calcuation. SHELXL for example uses ASCII-alphabetic order of the atom names, and assigns positive chiral volumes for the L-amino acids. In the REFMAC/PHENIX monomer library the sign of the chiral volume is explicitly assigned for each atom, and with ligand order N CB C it is always negative for CA. If Cahn-Ingold-Prelog priority rules for absolute configuration (Sidebar 6-13) were strictly applied, cysteine would have R-configuration, all other chiral common amino acids would have S-configuration. | 426 | ||
| 634,5,4 | as restraint should be as a restraint | 427 | |||
| 635,S12-5,col2,3,-1 | very computer intensive should be computationally intensive | 428 | |||
| 635,S12-5,col2,last paragraph line 4 | refinement. should be refinement against anomalous data. | 429 | |||
| 636,1,4 | delete: the left panel of | 430 | |||
| 637,2,1 | coordinates and should be coordinates, and | 431 | |||
| 637,2,last 2 sentences | swap the last two sentences | 432 | |||
| 640, 3,-3 | goodness-of-fit based should be goodness-of-fit | 433 | |||
| 640,last line of body text | displacement vector should be displacement | 434 | |||
| 643, end of C12-16 |
add following: Note
that in non-orthogonal crystal systems the always orthogonal truncation
ellipsoid principal axes do not correspond directly to reciprocal axes. From the
TRUNCATE manual: Direction 2 = b*;
direction 3 = perpendicular to
a* and b*; direction 1 = perpendicular to b* and direction 3. | Thx Matthias for that comment! | 435 | ||
| 644,2,4 | was deduced to should be was used to | 436 | |||
| 647,3,-1 | delete: unnecessarily | 437 | |||
| 650,line after e12-87 |
Hessian matrix is Nabla squared:
| Correct in manuscript... | 438 | ||
| 650, above last line | p0-p1 should be p-p1 | needs to be checked | 439 | ||
| 653,S12-7,4 | diffraction and should be diffraction, and | 440 | |||
| 657,1,3 | procedure should be program | 441 | |||
| 657,1,4 | and is should be and it is | 442 | |||
| 662, bullet2, -2 | necessary benefit should be necessary requirement or just necessity | Copyeditor to decide | 443 | ||
| 663, bullet5, 3 | not simply a should be not just a | 444 | |||
| 667,3,5 | which snap should be which then snap | 445 | |||
| 670 1,-1 | compensating for should be absorbing | 446 | |||
| 670, C12-30, -5 | 2nls should be 1nls | Thx, Kay and Pete! | 447 | ||
| 672,2,1 | do have incorrectly should be do not have correctly | 448 | |||
| 683,1,4 | 1/1000 should be 1/10000 | 449 | |||
| 689 | Update reference 28 | 28. Emsley P, Lohkamp B, Scott WG, et al. (2010) Features and development of Coot. Acta Crystallogr. D66(4), 486-501. | 450 | ||
| 689 | Correct reference 35 | 35. Kleywegt GJ, & Brunger AT (1996) Checking your imagination: applications of the free R value. Structure 4, 897-904. | 451 | ||
| 691 |
Update reference 133 |
133. Chen VB, Arendall WB, III, Headd JJ, et al. (2010) MolProbity: all-atom structure validation for macromolecular crystallography. Acta Crystallographica D66(1), 12-21. | 452 | ||
| CHAPTER 13 | |||||
| 695,3,-4 | R-factor should be R-value | that sucker slipped through.... | 454 | ||
| 701, T 13-2, lower header line | deviatiom should be deviation | Table and figure were correct in MS! | 455 | ||
| 707,2,first bullet,2 | effect of a well-built or incorrect ligand should be effect of either a well-built or an incorrectly built ligand | 456 | |||
| 709,3,2 | known and should be known ligands and | 457 | |||
| 711,S13-4,21 | density and should be density, and | 458 | |||
| 711,C13-11,2 | low affinity should be low-affinity | 459 | |||
| 711, F13-11 | relabelled low-affinity, drug-like | updated figure 13-11 (gif) here. | 460 | ||
| 711, last paragraph | there is a blue smudge in my copies across the last 3 lines | typesetter | 462 | ||
| 719,S13-6,col2,1 | and B-correction should be and (negative) B-correction | 463 | |||
| 729,1,2 | made) and should be made), and | 464 | |||
| 733 | Add to 13.12 Additional reading | 6. Rupp B (2010) Scientific inquiry, inference and critical reasoning in the macromolecular crystallography curriculum. J. Appl. Crystallogr. 43(5), 1242-1249. | 465 | ||
| 733 |
Update reference 21 |
21. Chen VB, Arendall WB, III, Headd JJ, et al. (2010) MolProbity: all-atom structure validation for macromolecular crystallography. Acta Crystallographica D66(1), 12-21. | 466 | ||
| APPENDIX | |||||
| 741 line after Eqn A-12 | its elements should be its diagonal elements | 467 | |||
| 749,1,EQ A-54 | Formula is wrong - delete norm bars and correct | .... thanks, Ian, Dirk and Pavel! | 468 | ||
| 749,C A-1 | Formula is wrong - delete norm bars and correct |
|
469 | ||
| 749, Paragraph below A-55 | follows what is considered should be follows the Euler Identity, considered | 470 | |||
| 749, A-56 | Euler Identity has wrong sign... |
correct:
|
471 | ||
| 750,3 lines below Eqn A-67 | \greekpsir should be \greekphir |
|
472 | ||
| 754,Table A-6 | in Coulomb row, units are missing: | 1 C and 1 A·s | 473 | ||
| 788,middle of page margin | there are pink smudges in my copies | ?? | 474 |
|
||